-
Notifications
You must be signed in to change notification settings - Fork 0
Open
Description
206. 反转链表
Description
Difficulty: 简单
给你单链表的头节点 head ,请你反转链表,并返回反转后的链表。
示例 1:
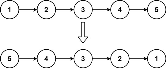
输入:head = [1,2,3,4,5]
输出:[5,4,3,2,1]
示例 2:
输入:head = [1,2]
输出:[2,1]
示例 3:
输入:head = []
输出:[]
提示:
- 链表中节点的数目范围是
[0, 5000] -5000 <= Node.val <= 5000
**进阶:**链表可以选用迭代或递归方式完成反转。你能否用两种方法解决这道题?
Solution
Language: JavaScript
/**
* Definition for singly-linked list.
* function ListNode(val, next) {
* this.val = (val===undefined ? 0 : val)
* this.next = (next===undefined ? null : next)
* }
*/
/**
* @param {ListNode} head
* @return {ListNode}
*/
// 假设链表为 1→2→3→∅,我们想要把它改成 ∅←1←2←3。
// 迭代
var reverseList = function(head) {
let prev = null
let curr = head
while (curr) {
[curr.next, prev, curr] = [prev, curr, curr.next]
}
return prev
};
// 递归
// var reverseList = function(head) {
// if (head === null || head.next === null) {
// return head
// }
// const nextHead = reverseList(head.next)
// head.next.next = head
// head.next = null
// return nextHead
// }Metadata
Metadata
Assignees
Labels
No labels

